betaflight4.3中把一个aux2通道,三段式(a/b/b)拨杆儿设置成a->airmode,把另一个aux2通道三段式通道拨杆儿设置成c->angle.那么打到这三段分别会发生什么
根据你提供的信息,在 Betaflight 4.3 中,如果你将 AUX2 通道 的一个三段式拨杆(a/b/b 模式)设置为: a → AIRMODE c → ANGLE 那么,这个三段拨杆分别打到三
我不用gps,帮我排查有没有需要关闭的地方(kimi)
# # dump # version # Betaflight / STM32F7X2 (S7X2) 4.4.2 Jun 13 2023 / 06:15:58 (23d066d08) MSP A
穿越机倒带的 一个很好的图片解释
用左面的 曲线就很容易倒带,用抛物线就很难,所以 不要试图在闪回点之前是降落姿态,或者由高到低。否则就需要留有角度而不能在侧躺时让穿越机水平。
liftoff活动
Lanterns rise, lanterns glow, Drifting gently in the evening’s flow. Around the world, lantern festi
radio master tx12的设计bug
姿态手(右手)再横滚打到右侧,俯仰从上往下拉,到底的时候总是会向左偏移一下。 以前没有就此问题拆开看,虽然拆了很多遍,但是没有注意到。原来是因为我把弹簧放松(注意往里拧反而是增大弹簧力度),或者说只是
穿越机为什么偏航要晚于横滚
在绕中心旋转时,如果先偏航,再横滚,那么旋转点将定在偏航后的那个点。 先横滚再偏航,那么旋转点会在偏航之前确定。
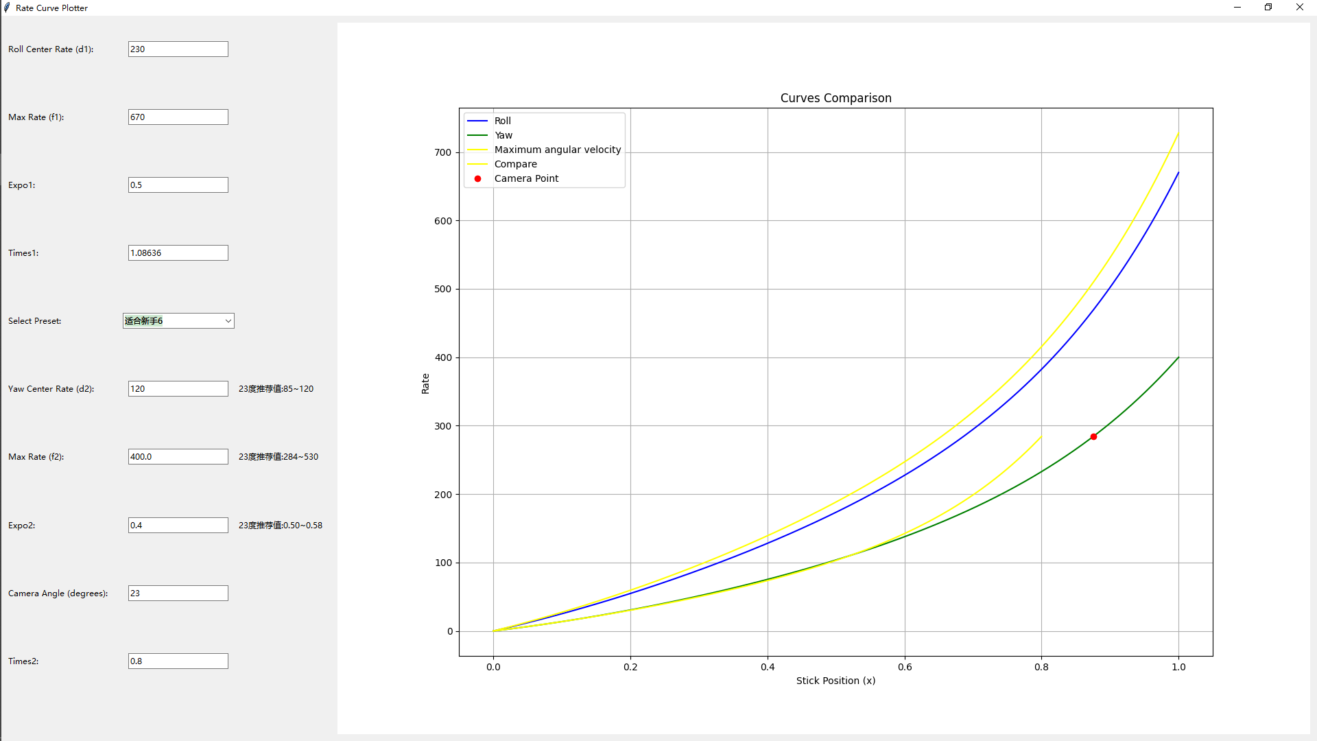
穿越机rate值如何设定——精讲
随着穿越机飞行水平提高,对遥控打杆的杆量愈加精准。对穿越机姿态控制更加游刃有余。我们就需要操控和姿态之间的响应更加灵敏,舍弃那些容错,用来提高对穿越机飞行的快速把控。 一般人类在操控穿越机初期,大脑反
穿越机遥测数据
betaflight接收机页面打开TELEMETRY 遥控器model第12页TELEMETRY discover new sensor 遥控器找到model第9页设置LOGICAL SWITCHES
split-s to stall track
“Split-S to stall track”是一种FPV(第一人称视角)飞行特技动作。以下是关于该动作的介绍: 动作描述 Split-S:是一种飞行机动动作,通常指飞机进行半圈的俯冲动作。 Sta
betaflight默认pid是为正x结构5寸机设计的还是宽x结构5寸机设计的?
Betaflight的默认PID参数并不是专门为正X结构或宽X结构5寸机设计的,而是适用于多种常见配置的通用初始值。不过,正X结构是较为常见的机架布局,且其调参相对容易,因此默认PID参数在正X结构5

