简单的二次方程中,隐藏了极为重要且深奥的数学思想——不变性
687 2025-05-26 10:29 2025-05-26 10:29
转自百度:https://baijiahao.baidu.com/s?id=1751748077067251653&wfr=spider&for=pc
就创造力而言,欧拉、柯西和凯莱自成一类,在他们后面跟着的是庞加莱。奠定凯莱最伟大的名声的,是他的不变量理论。不变量的概念对于现代物理学,特别是相对论,有着极其重要的意义,但这还不是它应该受到重视的主要原因。我们知道,许多物理学理论是必须修正甚至抛弃的;而不变量理论是纯数学思想的一部分,是建立在坚固的基础上的。
凯莱首创的另一个思想是“高维空间”几何,它对现代科学同样具有重要意义,但是作为纯数学的思想,则无可比拟地更为重要。矩阵理论也是如此,它同样是由凯莱创立的。在非欧几何方面,凯莱为克莱因的杰出发现铺平了道路,这个发现就是,欧几里得几何同罗巴切夫斯基和黎曼的非欧几里得几何,这三种几何都仅仅是某种更一般类型几何的特殊情况。

阿瑟·凯莱(Authur Cayley)于1821年8月16日出生在萨里的里士满。在他14岁时,被送到伦敦的国王学院。他很早就显示出数学天赋。他卓越才能的最初展现同高斯一样,年轻的凯莱在长数值计算方面发展了惊人的技巧,而他做这些计算是为了娱乐。在开始正式学习数学时,他很快就超过了学校里的其他学生。
凯莱17岁时在剑桥大学三一学院开始了大学生活,在剑桥大学读完三年级时,他在数学上已远远超出其他人。1842年凯莱21岁时,取得了剑桥大学数学荣誉学位考试第一名,同年他又在更困难的争取史密斯奖学金的考试中取得了第一名。
像阿贝尔、伽罗瓦和其他许多在数学上取得很大成就的人一样,凯莱也到大师们的著作中去寻找灵感。他的第一项工作就是从他对拉格朗日和拉普拉斯的研究中产生出来的,它发表于1841年,那时他是一个20岁的大学生。
在取得学位之后的第一年发表了8篇文章,第二年发表了4篇,第三年发表了13篇。当这些早期论文中的最后一篇发表时,这个年轻人还不到25岁,这些早期的文章,规划了他在此后50年内要从事的大部分研究。他已经开始了n维几何(这是他首先开始的)、不变量理论、平面曲线的枚举几何学的研究,以及他对椭圆函数理论的特殊贡献。
1846年凯莱25岁时离开了剑桥,进了林肯法律协会,看到19世纪英国有多少第一流的大律师和大法官是剑桥大学数学荣誉学位考试的名列前茅者,多少有点令人吃惊。凯莱在1849年取得律师资格。当上律师以后,他没有腐化堕落,他拒绝的事务比他接受的事务还要多。在14年的律师生涯,他还发表了两三百篇数学论文,其中有许多成了经典文献。
西尔维斯特

1814年9 月3日,詹姆斯·约瑟夫·西尔维斯特(James Joseph Sylvester)出生在伦敦一个犹太人的家庭。像凯莱一样,西尔维斯特的数学天赋很早就表现了出来。他曾在伦敦大学学习过5个月,在那里接受了德·摩根的指导。在一篇《论共存的导数》的论文中,西尔维斯特说,我得感谢德·摩根教授,我为曾经是他的学生而自豪。
1829年,西尔维斯特15岁时进了利物浦的皇家学院,在那里待了不到两年。他在第一年结束时获得数学奖,此时他在数学方面已经远远走在他的同学们前面,因而为他单独开班。1831年,刚过17岁时,西尔维斯特进了剑桥大学圣约翰学院。
数学以,西尔维斯特精通希腊文和拉丁文古典文学,他的许多论文都因为从这些古典文学中摘录了引文而更加生动。他对语言和文学形式的兴趣是敏锐深刻的。不变量理论的生动术语,绝大部分归功于他。西尔维斯特称自己为“数学上的亚当”。
1838年,西尔维斯特24岁时,在伦敦大学学院担任自然哲学(一般科学,特别是物理学)教授,在那里,他的老师德·摩根是他的同事。他发现教科学与他的志趣完全不符,大约两年以后就放弃了教书。与此同时,他在25岁时,就被选为皇家学会的会员。
代数不变量

1841年,西尔维斯特跨越大西洋去就任弗吉尼亚大学的数学教授,但因惩罚了一个侮辱他的学生,他被大学开除了。1846年32岁时,他进了坦普尔法学协会,准备从事法律职业,1850年取得了律师资格。这样,他和凯莱走到一起了。当时凯莱29岁,西尔维斯特36岁。
代数不变量的理论开始于一个极为简单的观察,不变性概念的各种各样的扩展,都是由代数不变量理论自然产生的。这个想法最早的例子出现在拉格朗日的著作中,以后又从拉格朗日进入高斯的算术工作。但是这两个人谁也没有注意到,在他们面前的这个简单然而值得注意的代数现象,是一个广阔理论的萌芽。当布尔扩展了拉格朗日的工作时,他似乎也没有充分认识到他所发现的是什么。
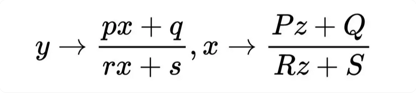
任何曾经看见过解二次方程的人,都能懂得上面所提到的简单观察,它不过就是解二次方程而已。方程ax^2+2bx+c=0有两个相等的根的充分必要条件是b^2-ac=0。让我们把变量x用变量y=(px+q)/(rx+s)替换,这样,x就要用这个变换式的解替换,即x=(q-sy)/(ry-p)。这个变换把已知方程变成了另一个关于y的方程;设新方程是Ay^2+2By+C=0。通过代数运算,我们发现新方程的系数A,B,C能用原方程的系数a,b,c表示如下

由此很容易得出

这里,b^2-ac称为关于x的二次方程的判别式,因此关于y的二次方程的判别式是B^2-AC。这样我们就证明了,变换方程的判别式等于原始方程的判别式乘以因子(ps-qr)^2,这个因子只依赖于把x用y表示的变换式y=(px+q)/(rx+s)中的系数p,q,r,s。
布尔首先发现,在这个特殊的不起眼的结果中有些值得注意的地方。每一个代数方程都有一个判别式,那就是说,有某个表达式,当方程有两个或更多的根相等时,而且仅仅在这种条件下,这个表达式等于零。布尔首先问到,对于一个方程来说,当x用相应的y代替时,其判别式是否除了一个只依赖于变换系数的因子外,保持不变?接着他问,除了判别式以外,是否还有其他由系数组成的表达式,具有在变换下不变的同样性质?他发现一般四次方程有两个具有这样性质的表达式。
然后另外一个人,德国数学家艾森斯坦,继续扩展布尔得出的一个结果,在1844年发现了一些既包含原始方程的系数又包含x的表达式,它们会呈现出同种类型的不变性∶原来的系数和原来的x 变成了变换后的系数和y时,由原始量组成的这些表达式,与由变换后的量组成的表达式,只相差一个因子,且这个因子仅依赖于变换的系数。
布尔和艾森斯坦两人都没有找出这种不变量的一般方法。凯莱就是在这一点上,在1845年以他开拓性的论文《论线性变换理论》进入了这一领域。他向自己提出的问题是,找出能够给所有上面所描述的那种不变量表达式的统一方法。
由于不变量这个问题在现代科学思想中极为重要,我们举出另外3个例子来说明它的意义。

想象画在一张纸上的、由相交的直线与曲线组成的图形。不把纸撕破,随意把它弄皱,试着想想什么是图形在弄皱前和弄皱后保持不变的最明显的性质。对在一张橡皮上画的图形做同样的事,以能想出的任何复杂的方式拉伸橡皮,但不要把它撕破。在这种情形下,显然面积和角度的大小、线的长度都不会保持“不变”。通过适当拉伸橡皮,直线可以被扭曲成你希望的几乎任何形状的曲线,同时原来的那些曲线可以被变成直线。
然而关于整个图形仍然有某种东西没有改变;正是它的简单和明显使它被忽视了。这就是在图形的任意一条线上,标志着其他线段与已知线段相交之处的点的顺序。这样,如果沿着从A到C的给定直线移动一支铅笔,在扭曲前我们必须通过这条线上的点B,那么我们在扭曲后从A到C 的途中仍然必须经过点B。顺序在一些特殊的变换下是一个不变量,比如说,在把一张纸揉成一个纸团或者拉伸一张橡皮的变换下是不变的。
这个例子看起来也许没有什么意思,但是任何读过广义相对论中“世界线”相交的非数学描述的人,和想起这样两条线的一个交点标志着一个物理“事件”的人,都会看出我们所讨论的,与物理世界的一幅图景是同样的东西。强大到足以处理这些复杂的“变换”,并且实际上足以产生不变量的数学方法,是许多工作者的创造,其中包括黎曼、克里斯托弗尔、里奇、莱维齐维塔、李(Lie)和爱因斯坦。这整个广阔的纲领是由代数不变量理论的早期工作者们开始的,而凯莱和西尔维斯特是该理论的真正奠基人。

第二个例子是想象在一根绳子上套一个结,把绳子两端系在一起。拉动这个结,让它沿着绳子移动,我们把它任意扭成各种各样的"形状"。在这种情形下,这些扭曲就是我们的变换,那么在所有这些扭曲下,什么保持“不变”?显然,结的形状和大小都不是不变的,但是结本身的“式样”是不变的。还有,在较老的物理学中,能量是“守恒的”;宇宙中的总能量被认为是一个不变量,在从一种形式,例如电能,到其他形式,诸如热和光的一切变换下,总能量是不变的。

不变量的第三个例子,需要更多一些提到物理学。一个观察者根据三个互相垂直的轴和一个标准钟,来确定某个事件在空间和时间中的“位置”。另一个观察者相对于第一个观察者是运动的,他希望描述的物理事件与第一个观察者描述的是同一个物理事件。他也有他的时空参照系;他相对于第一个观察者的运动,能够表示成他自己的坐标的一个变换。按照所考虑的特殊的变换类型,这两个观察者提供的描述在数学形式上可能不同,也可能相同。如果他们的描述确实不同,那么很显然,这一差异不是他们两人观察的物理事件所固有的,而是他们的参照系和变换所固有的。这样就提出了一个问题,即怎样只构造这样的数学表示,它们是不依赖任何特殊参照系的自然现象的数学表示,因此能够被所有的观察者表示成同一种形式。
这等同于寻找一个变换的不变量,这个变换表示了最一般的一个参照系的时空与另一个参照系时空的转换关系。这样,寻找基本自然规律的数学表示的问题,就变成了一个在不变量理论中容易解决的问题了。
从1876年到1883年,西尔维斯特在约翰斯·霍普金斯大学度过。他深深感激约翰斯·霍普金斯大学给他提供了机会,使他在63岁时开始了他的第二次数学生涯,他在1877年校庆典礼上的讲话中,毫不迟疑地公开表示了他的感激之情。在这篇讲话中,他概述了他在数学和研究方面希望做的事。
有一些东西称为代数的形式。例如∶

第一式中的数字系数1,2,1,第二式中的数字系数1,3,3,1,都是二项式系数,与帕斯卡三角形中的第三和第四行一样;按次序下一个是

正确地说,它们不是几何形式,虽然在某种程度上,它们可以体现在几何形式中;它们是为了使之存在的实现方案,或形成的运算方案,实际上是代数量。
每一个这样的代数形式都与无穷多种其他形式相联系,这些形式可以被看成是由第一种形式产生的。这些发散物是无限的,人们发现它们有可能由合成一些有限数目的基本形式而得到。一大批数学家的目标,是找出这些代数形式的基本导出形式,它们称为共变式以及这些代数形式的不变量。
西尔维斯特的几乎所有公开演讲或篇幅较长的论文,除了技术细节以外,都包含许多可以引证的有关数学的东西。从他的著作集中,可以为初学者,甚至可以为有经验的数学家们,选编一本使人耳目一新的选集。也许没有任何其他数学家像西尔维斯特这样,通过他的写作,如此透彻地展示了他的个性。
假如我不得不要长久地独自拥有现代数学所占据的如此广阔的领域,我会感到难过的。数学不是一本局限于封面和铜钉之间装订成册的书,只需要耐心就可以得到它的内容;它不是一座矿,它的宝藏可以花费长时间去占为己有,但它只存在于有限的矿脉之中;它不是一片土壤,其肥力能够因连续的丰收而耗尽;它不是一片大陆或海洋,可以规划它的面积,确定它的轮廓∶它像空间一样无限,而对于它的抱负来说,它发现空间也太狭窄;它可能发生的情况是无限的,像那在天文学家的注视下永远有天体挤进去、永远在增加的宇宙一样无限;它像意识、生命一样,不可能被限制在指定的范围内,或简化成一些永远正确有效的定义;它仿佛蛰伏在每一个原子中,蛰伏在每一片树叶、每一个花蕾和细胞中,永远准备着突然间迸发出新型的植物和动物实体。
1878年,西尔维斯特创办《美国数学杂志》,并经约翰斯·霍普金斯大学委任担任主编。该杂志给了美国数学以巨大的推动。今天它在数学方面仍然欣欣向荣,但是出版经费十分困难。
再次碰面
当凯莱接受了1881——1882年度在约翰斯·霍普金斯讲半年课的邀请时,他和西尔维斯特又在专业上走到了一起。他选择了那时他正在研究的阿贝尔函数作为他的题目。67岁的西尔维斯特出席了凯莱的每一次讲座。
我们现在简单地谈谈凯莱除了关于代数不变量理论的工作以外,对数学的三项杰出的贡献。我们已经提到过他创立的矩阵理论、n维空间几何,以及他的关于几何的一种思想,这种思想给了非欧几何学以新的说明(在克莱因手里)。我们从最后一项开始,因为它是最困难的。

德扎尔格、帕斯卡、彭赛利,以及其他一些人创造了射影几何,其目的是要发现那些在射影下不变的图形的性质。测量(角的大小、线的长度)及依赖于测量的定理,例如毕达哥拉斯的直角三角形最长边的平方等于其余两边的平方和的命题,不是射影的,而是度量的,它们不能用通常的射影几何处理。
凯莱在几何学中的一个最伟大的功绩,就是越过了这样一个障碍。在他跨过它之前,它把图形的射影性质与度量性质分开了。从他的更高的观点看,度量几何也成为射影几何了,射影方法的巨大力量和它的灵活性,由于引入了"虚"元素,被证明可以应用于度量性质。任何学过解析几何的人都会回想起,两个圆相交于四个点,其中两个点总是“虚的”。
有一些明显的例外情形,例如同心圆,但是这种例外对于我们的目的而言极为罕见。
度量几何中的基本概念是两点之间的距离和两条线之间的角度。凯莱用另一个也包含“虚”元素的概念代替距离,提供了把欧几里得几何和通常的非欧几何统一成一个更广泛的理论的方法。不用一点代数,不可能明确地说明这可能是怎样做到的。对于我们的目的来说,注意到凯莱把射影几何和度量几何统一在一起,以及与上述其他几何的同种统一的主要进展就足够了。
当凯莱首先作出n维几何时,它比我们今天看起来要神秘得多,因为我们已经熟悉了相对论中的四维(时空)的特殊情形。人们有时候仍然说,四维几何是人类无法理解的。但是很久以前就由普吕克尔推翻了这种迷信;把四维图形放在一张平面的纸上是很容易的,就几何而论,整个四维“空间”也是很容易想象出来的。首先考虑一个相当特殊的三维空间∶在一个平面上可能画出的所有的圆。这“全部”是一个三维“空间”,理由很简单,要确定这些圆中的任意一个,需要恰好三个数,或三个坐标。

如果读者现在来摹想一个四维空间,你可以想象用直线代替点,作为构成普通“固体”空间的元素。代替我们熟悉的固体空间,现在它就像一根根无限薄、无限长、直直的干草组成的有秩序的干草堆。要在我们的干草堆中确定一根特别的干草,恰好四个数是必要而且充分的,那么我们就很容易看出直线的空间确实是四维的。一个“空间”的“维数”可以是我们选择来构成它的任何东西,如果取点作为构成空间的元素,那么没有人能够成功地看到多于三维的空间。
现代物理学正在迅速地教会一些人放弃他们关于除了数学“空间”(例如欧几里得的空间)以外,还有一个神秘的“绝对空间”的看法。那些数学空间是几何学家们为了与他们的物理经验联系起来而构造的。今天的几何学主要是分析的问题,但是,“点”、“线”、“距离”等等,这些过去的术语,有助于向我们提醒有关坐标集合的东西。但是不能由此推断,这些特定的东西是在分析学中能做出的最有用的东西。实际情况可能是,总有一天所有这些东西与更重要的东西相比,都是相对微不足道的了。
凯莱的最后一个伟大发明,是矩阵及其代数。这个题目开始于他在1858年的一篇论文,直接产生于对代数不变量理论的那些(线性)变换的结合方式的简单观察。回顾一下我们对于判别式及其不变量的描述,注意

这个变换。假设有两个这样的变换,

把其中的第二个变换应用到第一个变换中的x上。我们得到

我们只注意三个变换中的系数,把它们写成方阵,即

就可看出,连续实施前两个变换的结果,可以用下面的“乘法”规律写出来,

这样的(任意数目的行和列的)阵列就称作矩阵。它们的代数是由几个简单的公设得到的,我们只须列举下面几个。

这些规则的一个独特的特点是乘法的不可交换性。例如,我们由规则得到

右边的矩阵不等于如下相乘所产生的矩阵∶

在凯莱创立了它67年之后,海森伯在1925年发现,矩阵代数恰恰是他在其量子力学的革命性工作中所需要的工具。
凯莱所做的工作,许多已经成为数学的主流。他那浩瀚的《数学论文集》中,很可能还有更多的著作,将给未来几代富于探索精神的数学家们提供有益的食粮。凯莱最感兴趣的领域目前已不再流行,对西尔维斯特同样也可以这样说;但是数学有一个习惯,回到它原来的问题上,把它们归纳为范围更广的综合问题。凯莱于1895年1月26日去世。
1883年,杰出的爱尔兰数论专家、牛津大学的萨维利几何教授亨利·约翰·斯蒂芬·史密斯去世了。牛津大学邀请70岁的西尔维斯特担任这一空出的教授席位。这位令人惊奇的老人来到牛津大学,以一种崭新的数学理论(微分不变量)浇灌他的学生。
1893年,西尔维斯特79岁,他的视力开始减退,他变得悲哀沮丧了,因为他再不能以他往昔的热情演讲了。1896年末,在他82岁的时候,他在一个过去总是吸引着他的领域中,找到了新的热情——哥德巴赫猜想。
1897年3月初,他在伦敦的房间里从事数学工作时,突然瘫痪,因而丧失了说话能力。他死于1897年3月15日,终年83 岁。他的一生可以用他自己的话作一总结∶“我确实热爱我的学科”。
全部评论